2022-08-04 15:20 來源:湖南師范大學新聞網 作者:物理與電子科學學院 點擊:
(供稿 物理與電子科學學院)近日,我校物理與電子科學學院、低維量子結構與調控教育部重點實驗室、物質微結構與功能湖南省重點實驗室、量子效應及其應用協同中心廖潔橋教授課題組在容噪光力糾纏方面取得重要進展,在國際頂尖期刊Phys. Rev. Lett.發表題為“Noise-Tolerant Optomechanical Entanglement via Synthetic Magnetism ”的學術論文。近年來,廖潔橋教授課題組一直圍繞著暗模操控課題開展研究,取得了一系列研究成果,先后在國際知名期刊發表多篇論文:Phys. Rev. A (Rapid Communication) 102, 011502 (2020);Phys. Rev. A 102, 023707(2020);Phys. Rev. A 106, 013526 (2022)。
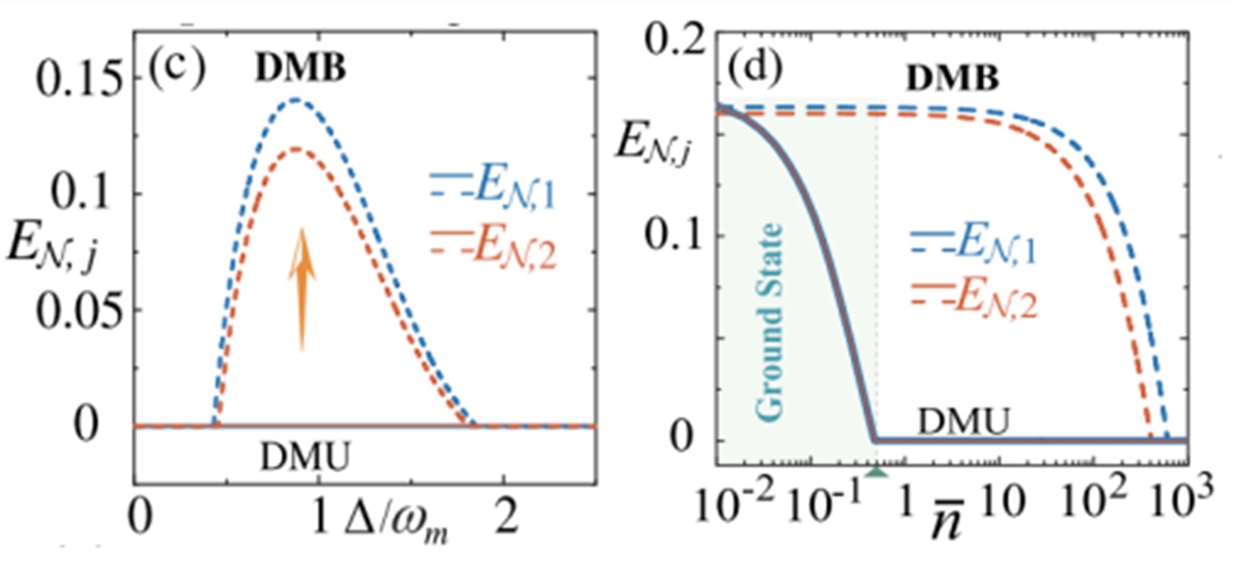
廖潔橋教授課題組首次提出運用合成磁場方法來操控暗模效應,從而制備對暗模和熱噪聲免疫的光力糾纏。該方法具有普適性,可應用于量子物理學中的其他暗態操控課題。
廖潔橋教授為本論文的唯一通訊作者,湖南師范大學為該論文的第一單位,我校博士生賴登高(現為日本理化學研究所博士后)為本論文第一作者,波蘭波茲南密茨凱維奇大學Adam Miranowicz教授和日本理化學研究所Franco Nori教授參與了部分研究工作。該工作獲得了國家自然科學基金、湖南省自然科學基金和湖南省科技創新計劃的資助。


圖:(a)單個光學模式耦合兩個力學模式的物理模型示意圖。(b)單個光學模式耦合多個力學模式的物理模型示意圖。(c,d)當存在暗模(DMU)和打破暗模(DMB)時,光力糾纏度量隨著(c)腔場失諧和(d)熱聲子數的變化。
相關論文鏈接:https://journals.aps.org/prl/abstract/10.1103/PhysRevLett.129.063602
編輯:杜于藍
責編:馬鐵泉
審核:陳麗榮
上一條:江蘇省高等職業院校教師培訓名校長培育研修班開班儀式在我校舉行
【關閉】